ジュニア(小学校期)編~身体リテラシーの育成 Vol.6
【著者】鈴木タケル(日本プロゴルフ協会会員)、
一川大輔 (東洋大学 理工学部生体医工学科)
【監修】坂井昭彦(The 蔵ssic)
●テーマ:児童期からの運動習慣がもたらす生理学的効果とジュニア層拡大への方策
ジュニア期は大きく児童期(6-12歳)と思春期(12-18歳)に分けられる。児童期は、現実を土台に想像力が豊かになってくる時期であり、人間としてのモラルと道徳心を育む必要がある。そして思春期はホルモン分泌の変化が大きくなることから、心身ともに大きな変容の時期となるが、他者と集団で協同作業も可能となる時期である。現代は、テレビの視聴時間に加え、タブレット端末での情報取得の問題もあり、不活動(de-training)の状況が人生のかなり早期に起こる可能性も否定できない。このような場合、身体活動量の低下により痩せすぎや肥満が進行することが予想される。
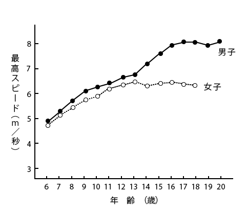
特に女性は中学生になると、終末身長を迎える場合もあり、短距離走でのスピードも13歳を境に特別なトレーニングをしない限りは向上がみられなくなる(図1, 引用1)。現代では、部活動の多様化が進みe-sportsも含め多くの座位状態での課外活動が増えていると考えられるが、一方で運動を好みスポーツ活動を部活動に加入している女子中学生の場合は、除脂肪体重(体重から体脂肪量を除いた重量)の割合が未加入の学生より有意に高く、また骨密度も有意に高いことが明らかとなっている(図2, 引用2)。さらには新体力テストの合計得点も高くなる。ジュニア期に特定のスポーツ種目での運動時間を多く積むことは、そのパフォーマンス向上へ寄与する可能性もあるが、それよりもこの時期にスポーツ活動を行うことが生涯に渡る運動習慣の確立に繋がるという目線で保護者や指導者は子供たちと関与するべきである。多様な課外活動がある中で運動部に所属するという意思を有した時点で、その子供たちは素晴らしい視野を持っていると判断するべきであり、彼らの運動意欲を阻害するようなことせず、温かく見守ることが重要である。

図1. 男女各年齢における短距離走の疾走スピード比較(スポーツバイオメカニクス入門より引用改変)

図2. 女子中学生における運動部活加入者と非加入者の生理学的データ比較(健康づくりのための運動の科学より引用改変)
なお、2019年現在、野球部のある高等学校は3,957校であるのに対して、少子高齢化の影響もあるがゴルフ部の場合は、中学校と高等学校を合わせても約1/10以下の362校しか存在していないことが公表されている(引用3)。ゴルフ人口の増加を下支えする方策として、一般社団法人日本高等学校ゴルフ連盟とゴルフ業界3社は、緑の甲子園と称して、中学校・高等学校でのゴルフ部の創設や練習場所(PGM、GOLFZON)、用具の確保をサポート(ゴルフパートナー)することを、HPで公表し多くの雑誌記事等で宣伝を行っている(引用3)。今後、同業業種間の垣根を越えた活動に注目していきたい。
引用1)金子公宥 (2006). スポーツ・バイオメカニクス入門: 絵で見る講義ノート.杏林書院.
引用2)鵤木秀夫 (2014). 健康づくりのための運動の科学. 化学同人.
引用3)一般社団法人日本高等学校ゴルフ連盟, ジュニアゴルファー活性化プロジェクト, https://nihon-kougoren.jp/news/3525/